4.2. Квадраты Генезиса
Числовым квадратом порядка n, где n – натуральное число, будем называть квадрат, разбитый на n2 клеток, в которых размещены в произвольном порядке числа от 1 до n2.
Квадратом Генезиса порядка n будем называть числовой квадрат, обладающий тем свойством, что сумма чисел, стоящих в любом ряду (вертикальном или горизонтальном) и по обеим диагоналям, одинакова. Например, квадрат Генезиса третьего порядка

Квадратов Генезиса второго порядка не существует.
Исторически такой квадрат принято называть другим термином, но требования эволюции Человека и человечества с необходимостью приводят к введению нового понятия – квадрат Генезиса, закладывая этим основы более высоких явлений и приближая нас к познанию Сути Квадрата. Тем более, что на самый простой вопрос – а для чего такие квадраты нужны и какие процессы мироздания они описывают – ответ до сих пор не найден («классическое» использование квадратов в криптографии не кажется удовлетворительным в ответе на поставленные вопросы).
Несмотря на пристальное внимание и исследование квадратов математиками, можно констатировать, что нерешенным остается огромное количество вопросов. Например, неизвестен способ построения всех квадратов Генезиса данного порядка; неизвестно число таких квадратов при n ? 5.
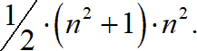
Для любого квадрата определенного порядка (n ? 3) существует единственное число, соответствующее сумме чисел в рядах квадрата. Условимся называть его константой Генезиса. Оно легко определяется из следующих соображений. Сумма всех элементов квадрата равна сумме арифметической прогрессии чисел от 1 до n2, то есть,

Поскольку сумма чисел в каждом ряду равна, и таких рядов ровно n, полученное число достаточно разделить на n с тем, чтобы получить итоговое выражение

Для квадрата третьего порядка константа Генезиса K3 равна 15. Пятнадцатое выражение Человека – Синтезобраз. Первичный квадрат Генезиса третьего порядка – это аккумуляция Духа Человеком и явление Воли ИВО.
Обратимся к случаю n = 4, и приведем в качестве примера следующие два квадрата четвертого порядка:

Общее число таких квадратов равно 880, хотя фактически, можно говорить о количестве в восемь раз меньше, то есть, о 110-ти – из любого квадрата поворотами вокруг центра можно получить 7 новых квадратов.
Константа Генезиса для квадратов четвертого порядка равна 34. С позиции систематики Частей ИВО – это Пассионарность. Выход на четвертый уровень, в котором синтезируются 16 выражений – необходимое условие осуществления Пассионарности в каждом.
Квадраты пятого порядка выводят нас за пределы 64-ричности – константа Генезиса при n = 5 равна 65. Этим идет преодоление 64-ричности генома Человека. Значение K5=65 соответствует Метагалактическому Движению, включающему активацию и рост Куба Творения, в основании которого лежит квадрат Генезиса пятого порядка.
С ростом n количество квадратов порядка n растет. Так, общее число квадратов Генезиса пятого порядка – около 13 миллионов. Приведем один из них:

Квадрат Генезиса шестого порядка приводит к значению константы Генезиса K6 = 111, Выход на число 111 дает выражение такого феномена как Сверхпассионарность – по названию 111-й Части ИВО – Метагалактическая Сверхпассионарность.
Квадрат седьмого порядка, для которого K7 = 175, приводит к явлению Иерархизации, и это уже явление Воли более высокого выражения, чем та, что фиксировалась константой K3.
И только квадрат 8?8 преодолевает 256-ричность явления – константа Генезиса в таком случае становится равной 260.

Приведем таблицу соответствия констант Генезиса порядкам квадратов для нескольких первых значений n

Существуют особый класс квадратов Генезиса, обладающий рядом удивительных свойств. Для его описания необходимо ввести понятие ломаных диагоналей. Обычные диагонали в числовом квадрате называют главными. Ломаные диагонали можно определить как диагонали, полученные при свертывании квадрата в тор. Их легко увидеть при «удвоенном» написании квадрата, когда справа к исходному квадрату приписывается аналогичный квадрат

Параллельно одной главной диагонали 16–10–7–1 идут еще четыре ломаных – ровно столько же, сколько параллельно другой главной диагонали 4–6–11–13. Правда, при такой интерпретации диагонали совсем не выглядят как ломаные.
Квадраты Генезиса, о которых идет речь, обладают тем свойством, что сумма чисел по всем возможным диагоналям (не только главным, но и по всем ломаным) равна одному и тому же числу. Меняя устоявшуюся традицию, договоримся называть такие квадраты сверхдиагональными. Известно, что сверхдиагональные квадраты существуют только для нечетных значений n и для порядка n двойной четности, то есть, n = 4k.
Среди сверхдиагональных квадратов Генезиса выделяют еще более совершенные объекты. Их так и называют – Совершенные квадраты. Совершенные квадраты возможны только для случая n = 4k, то есть, совершенными могут быть только квадраты четвертого, восьмого, двенадцатого и так далее порядка. Совершенным квадратом Генезиса называется сверхдиагональный квадрат, обладающий совокупностью свойств, связанных с различными комбинациями элементов квадрата.
Не останавливаясь подробно на всех свойствах (на данный момент известно 9 таких свойств), рассмотрим один из совершенных квадратов Генезиса четвертого порядка, на примере которого обсудим некоторые свойства совершенного квадрата:

Если посчитать сумму чисел в любом квадрате 2?2, входящем в Квадрат Генезиса, то окажется, что она равна 34, что совпадает с Константой Генезиса K4
Сумма чисел по углам квадрата тоже равна K4, а именно, 1+12+13+8 = 34.
Если внутри квадрата выделить квадраты размерами 3?3, то сумма чисел, расположенных по углам квадрата 3?3 тоже равна константе Генезиса. Например,
1 + 7 + 16 +10 = 14 + 12 + 3 + 5 =15+ 9 + 2 + 8 = 34.
Существуют также более «затейливые» свойства, типа равенства суммы квадратов чисел первой и третей строки (столбца):
12 + 142 + 72 + 122 = 102 + 52 + 162 + 32.
Каждый элемент квадрата Генезиса называется клеткой. Клеткам квадрата ставятся в соответствие пары целых чисел (х, у), называемых координатами, где х – номер вертикального ряда, у – номер горизонтального ряда, на пересечении которых находится данная клетка. При этом горизонтальные ряды нумеруются слева направо, а вертикальные – снизу вверх, а для нумерации рядов используются числа 0,1,2, …, n – 1.
Таким образом, для квадрата третьего порядка имеет место следующая нумерация клеток

Данное представление позволяет определить некую экстраполяцию квадрата Генезиса на всю плоскость – можно продолжить разбиение на клетки всей плоскости, вводя координаты (х, у). В данном случае, х и у будут принимать уже любые целочисленные значения. С одной стороны, такая процедура важна для реализации некоторых алгоритмов построения квадратов Генезиса, с другой стороны – это модель, закладывающая перспективы возможности роста квадратов Генезиса.
Интересным может оказаться вариант матричных интерпретаций квадратов Генезиса. Если задаться вопросом о нахождении собственных чисел матриц, соответствующих квадратам, то константа Генезиса снова дает о себе знать и в этом рассмотрении. Рассмотрим матрицу

Задача о нахождении собственных чисел приводит к характеристическому уравнению ??(?–34)(?2–4?34)=0. Очевидно, что одно из собственных чисел совпадает с константой K4.
Для другого квадрата Генезиса четвертого порядка с матрицей

набор собственных чисел иной – он включает только рациональные числа: 0, 8, –8, 34. Тем не менее, числа 34 и 0 присутствуют в данном наборе снова. Собственный вектор, соответствующий собственному числу ?4 = 34, состоит из одних единиц V4 = (1, 1, 1, 1). (Аналогичное утверждение справедливо и для предыдущей матрицы – собственному числу ?4 = 34 = K4 соответствует собственный вектор, составленный из единиц).
Матрица квадрата Генезиса шестого порядка

имеет собственное число равное 111. Число 111 является константой Генезиса K6.
Для матрицы квадрата Генезиса восьмого порядка, приведенного выше, в наборе из восьми собственных чисел присутствуют четыре действительных числа: ?1 = ?2 = ?3 = 0, ?4 = 260. Напомним, что 260 является константой Генезиса восьмого прядка. Кроме того, собственный вектор, соответствующий собственному числу 260, также оказывается составленным из единиц V4 = (1, 1, 1, 1, 1, 1, 1, 1).
Можно доказать, что все квадраты Генезиса обладают следующими замечательными свойствами, а именно
Для любых значений n ? 3
• одно из собственных чисел матрицы совпадает с константой Генезиса Kn;
• собственный вектор, соответствующий такому собственному числу, состоит из единиц (в символической интерпретации выражая эволюционную диагональ развития);
• одно из собственных чисел матрицы обязательно равно нулю.
Данные свойства являются крайне полезными в осмыслении и познании квадратов Генезиса в развертывании Научных Начал Творения.
Квадраты Генезиса развертыванием роста мерности переходят в явление Куба Генезиса. Кубом Генезиса порядка n называется куб, содержащий натуральные числа от 1 до n3, таким образом, что сумма чисел в любом ряду, параллельном ребрам куба и на пространственных диагоналях, равна одному и тому же числу. Аналогично выводу формулы для константы Генезиса квадратов, выводится формула для константы Генезисы Куба

Количество рядов, по которым возможно суммирование с выходом на один и тот же результат, определяется выражением (3n2 + 4). Первое слагаемое определяет количество «горизонтальных и вертикальных рядов», а число 4 соответствует четырем пространственным диагоналям. Для куба Генезиса третьего порядка, приведенного ниже, сумма чисел в каждом ряду, которых всего 31, дает константу Генезиса, равную 42 – весьма интересное число, если сопоставить его с названием сооветствующей Части Человека.

Из любопытных закономерностей – можно заметить, что в цетре данного куба стоит число 14, что составляет одну треть от константы Генезиса, а сумма двух любых чисел, расположенных симметрично центру куба, равна 28.
Если принять во внимание, что Униграмма изначального Ядра центровки ИВДИВО представляет собой итоговое явление действия Куба Созидания, а Куб Созидания состоит из Матриц Творения ИВО с записями Прасинтезности в ячейках Куба, включение таких математических объектов как кубы и квадраты Генезиса в математические осознания и исследования Шуньяты и метрик Метагалактики представляется вероятным, с очень большой степенью вероятности. Тем более что Математика – это Наука Творения ИВО.
ОП
Более 800 000 книг и аудиокниг! 📚
Получи 2 месяца Литрес Подписки в подарок и наслаждайся неограниченным чтением
ПОЛУЧИТЬ ПОДАРОКДанный текст является ознакомительным фрагментом.